Farmaci nelle acque reflue: voltaren

Sono sempre più i ritrovamenti di numerosi farmaci nelle acque reflue e nell’ambiente. Pertanto, la disinfezione negli impianti di trattamento delle acque reflue è necessaria, non solo per distruggere i microrganismi patogeni ma anche per mineralizzare i cosiddetti inquinanti emergenti.
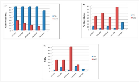
Questo studio confronta le trasformazioni di cinque inquinanti quale caffeina, tramadolo, irbesartan, diclofenac (principio attivo del Voltaren) e trazodone, trattati con ipoclorito di sodio e acido peracetico, due dei disinfettanti maggiormente utilizzati. E i risultati non sono tranquillizzanti…





